Σήμερα ανακοινώνονται 816 νέα κρούσματα της λοίμωξης του νέου κορωνοϊού (COVID-19), εκ των οποίων 24 εντοπίστηκαν κατόπιν ελέγχων στις πύλες εισόδου της χώρας. Ο συνολικός αριθμός των κρουσμάτων ανέρχεται στα 142267, εκ των οποίων 52.3% άνδρες. Κατά την ιχνηλάτιση βρέθηκε ότι 5547 (3.9%) θεωρούνται σχετιζόμενα με ταξίδι από το εξωτερικό και 42716 (30.0%) είναι σχετιζόμενα με ήδη γνωστό κρούσμα.
399 άτομα νοσηλεύονται διασωληνωμένοι. Η διάμεση ηλικία τους είναι 68 ετών. 270 (67.7%) εκ των διασωληνομένων είναι άνδρες. To 82.7%, των διασωληνωμένων, έχει υποκείμενο νόσημα ή είναι ηλικιωμένοι 70 ετών και άνω.912 ασθενείς έχουν εξέλθει από τις ΜΕΘ από την αρχή της πανδημίας.
Τέλος, έχουμε 48 νέους θανάτους από τη νόσο COVID-19, φθάνοντας τους 5099 θανάτους συνολικά στη χώρα, εκ των οποίων 3023 (59.3%) άνδρες. Η διάμεση ηλικία των θανόντων συμπολιτών μας ήταν τα 79 έτη και το 95.5% είχε κάποιο υποκείμενο νόσημα ή/και ηλικία 70 ετών και άνω.
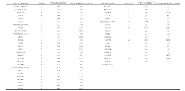
Αναλυτικά τα κρούσματα


Δεν υπάρχουν σχόλια:
Δημοσίευση σχολίου
Η Γνώμη Κιλκίς- Παιονίας διευκρινίζει στους αναγνώστες της ότι θεωρεί αυτονόητο το δικαίωμα του σχολιασμού και της κριτικής έκφρασης, όταν αυτό φυσικά δεν στοχεύει στην απαξίωση, στην ύβρη και στην προσβολή ατόμων και θεσμών.
Το αναγνωστικό κοινό θα πρέπει να γνωρίζει ότι η Γνώμη, επιδιώκοντας μια υγιή και αμφίδρομη επικοινωνία, δεν δημοσιεύει ανυπόγραφα σχόλια, αλλά ούτε και σχόλια ρατσιστικού, προσβλητικού και υβριστικού περιεχομένου.
Τα ενυπόγραφα άρθρα τέλος, εκφράζουν το συντάκτη τους και δε συμπίπτουν κατ' ανάγκην με την άποψη της εφημερίδας.