Τομεάρχης Υποδομών και μεταφορών της Διοικούσας Επιτροπής Εκλογικής Περιφέρειας ν. Κιλκίς της Νέας Δημοκρατίας
Ένα από τα αιτήματα των μαθητών του Γυμνασίου, Λυκείου, ΕΠΑΛ, στο Σαλάτς είναι "ένα στέγαστρο στην στάση" του λεωφορείου όπου είτε κατεβαίνουν τα παιδιά από το λεωφορείο για το σχολείο είτε περιμένουν το λεωφορείο για να πάνε στα σπίτια τους, κάτω από τις φυσικές περιβαλλοντολογικές συνθήκες, βροχή, κρύο, αέρα κ.λπ. Θέμα που θα έπρεπε να είχε επιλυθεί από την πρώτη ημέρα λειτουργίας των σχολικών κτιρίων της περιοχής.
Το μικρό χρονικό διάστημα που ήμουν ενεργό μέρος της "πολιτικής" και δημοτικός σύμβουλος στην προηγούμενη διοίκηση του Δήμου, είχα κάνει προτάσεις προς την λύση του θέματος, να μη ξεχνάμε τις παραπάνω φωτογραφίες, αλλά δεν πραγματοποιήθηκαν διότι το εμπόδιο ήταν η άδεια που θα έπρεπε να εκδοθεί από την πολεοδομία Κιλκίς, από ΥΠΗΡΕΣΙΑ ΤΟΥ ΚΙΛΚΙΣ, πού τελικά δεν εκδόθηκε με οποιαδήποτε δικαιολογία.
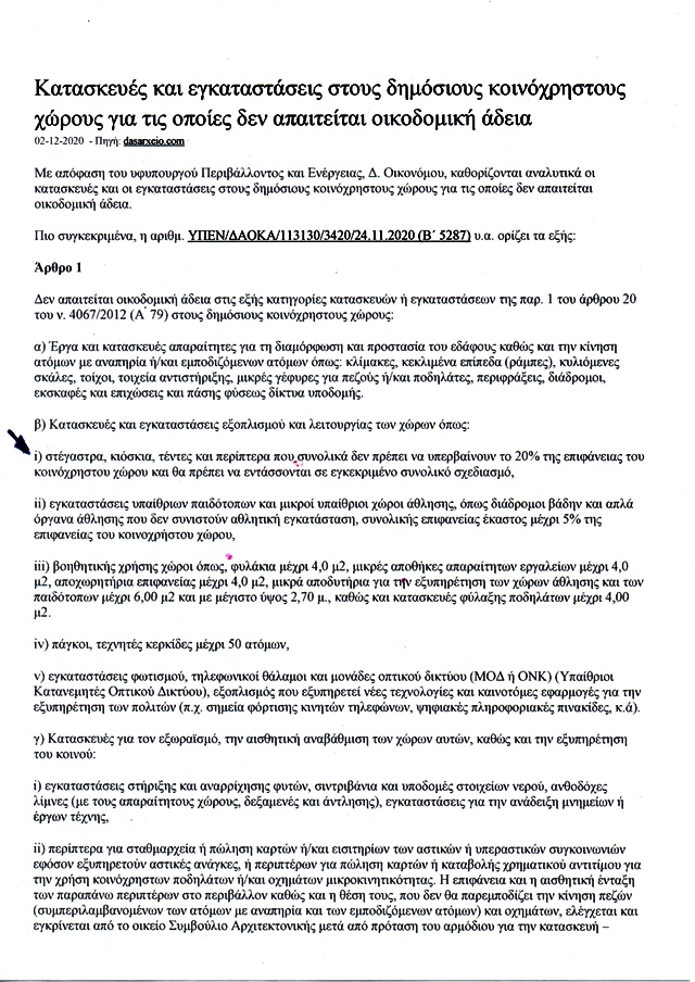
Έχουμε όμως νέα επί του θέματος, με το καινούργιο νομοσχέδιο που ψηφίστηκε και δημοσιεύτηκε στην εφημερίδα της κυβέρνησης ΔΕΝ ΑΠΑΙΤΕΙΤΑΙ άδεια. Τώρα πιστεύω ότι Δημοτική αρχή με Δήμαρχο τον κύριο Κυριακίδη Δημήτριο στον οποίο έχουμε εμπιστοσύνη παρακολουθώντας τα μέχρι στιγμής έργα του και την ευαισθησία που δείχνει στις ευάλωτες ομάδες, να γίνει η στεγασμένη στάση προς εξυπηρέτηση των μαθητών.
Το μικρό χρονικό διάστημα που ήμουν ενεργό μέρος της "πολιτικής" και δημοτικός σύμβουλος στην προηγούμενη διοίκηση του Δήμου, είχα κάνει προτάσεις προς την λύση του θέματος, να μη ξεχνάμε τις παραπάνω φωτογραφίες, αλλά δεν πραγματοποιήθηκαν διότι το εμπόδιο ήταν η άδεια που θα έπρεπε να εκδοθεί από την πολεοδομία Κιλκίς, από ΥΠΗΡΕΣΙΑ ΤΟΥ ΚΙΛΚΙΣ, πού τελικά δεν εκδόθηκε με οποιαδήποτε δικαιολογία.
Έχουμε όμως νέα επί του θέματος, με το καινούργιο νομοσχέδιο που ψηφίστηκε και δημοσιεύτηκε στην εφημερίδα της κυβέρνησης ΔΕΝ ΑΠΑΙΤΕΙΤΑΙ άδεια. Τώρα πιστεύω ότι Δημοτική αρχή με Δήμαρχο τον κύριο Κυριακίδη Δημήτριο στον οποίο έχουμε εμπιστοσύνη παρακολουθώντας τα μέχρι στιγμής έργα του και την ευαισθησία που δείχνει στις ευάλωτες ομάδες, να γίνει η στεγασμένη στάση προς εξυπηρέτηση των μαθητών.



Δεν υπάρχουν σχόλια:
Δημοσίευση σχολίου
Η Γνώμη Κιλκίς- Παιονίας διευκρινίζει στους αναγνώστες της ότι θεωρεί αυτονόητο το δικαίωμα του σχολιασμού και της κριτικής έκφρασης, όταν αυτό φυσικά δεν στοχεύει στην απαξίωση, στην ύβρη και στην προσβολή ατόμων και θεσμών.
Το αναγνωστικό κοινό θα πρέπει να γνωρίζει ότι η Γνώμη, επιδιώκοντας μια υγιή και αμφίδρομη επικοινωνία, δεν δημοσιεύει ανυπόγραφα σχόλια, αλλά ούτε και σχόλια ρατσιστικού, προσβλητικού και υβριστικού περιεχομένου.
Τα ενυπόγραφα άρθρα τέλος, εκφράζουν το συντάκτη τους και δε συμπίπτουν κατ' ανάγκην με την άποψη της εφημερίδας.