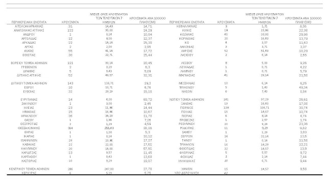
Τα νέα εργαστηριακά επιβεβαιωμένα κρούσματα της νόσου που καταγράφηκαν τις τελευταίες 24 ώρες είναι 2.155, εκ των οποίων 9 εντοπίστηκαν κατόπιν ελέγχων στις πύλες εισόδου της χώρας. Ο συνολικός αριθμός των κρουσμάτων ανέρχεται σε 345.033 (ημερήσια μεταβολή +0.6%), εκ των οποίων 51.3% άνδρες. Με βάση τα επιβεβαιωμένα κρούσματα των τελευταίων 7 ημερών, 51 θεωρούνται σχετιζόμενα με ταξίδι από το εξωτερικό και 2.109 είναι σχετιζόμενα με ήδη γνωστό κρούσμα.
Οι νέοι θάνατοι ασθενών με COVID-19 είναι 66, ενώ από την έναρξη της επιδημίας έχουν καταγραφεί συνολικά 10.381 θάνατοι. Το 95.4% είχε υποκείμενο νόσημα ή/και ηλικία 70 ετών και άνω.
Ο αριθμός των ασθενών που νοσηλεύονται διασωληνωμένοι είναι 802 (62.2% άνδρες). Η διάμεση ηλικία τους είναι 68 έτη. To 84.5% έχει υποκείμενο νόσημα ή/και ηλικία 70 ετών και άνω. Από την αρχή της πανδημίας έχουν εξέλθει από τις ΜΕΘ 2.121 ασθενείς.
Οι εισαγωγές νέων ασθενών Covid-19 στα νοσοκομεία της επικράτειας είναι 419 (ημερήσια μεταβολή -13.43%).
Ο μέσος όρος εισαγωγών του επταημέρου είναι 458 ασθενείς.
Η διάμεση ηλικία των κρουσμάτων είναι 44 έτη (εύρος 0.2 έως 106 έτη), ενώ η διάμεση ηλικία των θανόντων είναι 78 έτη (εύρος 0.2 έως 106 έτη).


Δεν υπάρχουν σχόλια:
Δημοσίευση σχολίου
Η Γνώμη Κιλκίς- Παιονίας διευκρινίζει στους αναγνώστες της ότι θεωρεί αυτονόητο το δικαίωμα του σχολιασμού και της κριτικής έκφρασης, όταν αυτό φυσικά δεν στοχεύει στην απαξίωση, στην ύβρη και στην προσβολή ατόμων και θεσμών.
Το αναγνωστικό κοινό θα πρέπει να γνωρίζει ότι η Γνώμη, επιδιώκοντας μια υγιή και αμφίδρομη επικοινωνία, δεν δημοσιεύει ανυπόγραφα σχόλια, αλλά ούτε και σχόλια ρατσιστικού, προσβλητικού και υβριστικού περιεχομένου.
Τα ενυπόγραφα άρθρα τέλος, εκφράζουν το συντάκτη τους και δε συμπίπτουν κατ' ανάγκην με την άποψη της εφημερίδας.